-
[백준] 1991 트리 순회ALGORITHM/BOJ 2020. 11. 15. 18:43
1991번: 트리 순회
첫째 줄에는 이진 트리의 노드의 개수 N(1≤N≤26)이 주어진다. 둘째 줄부터 N개의 줄에 걸쳐 각 노드와 그의 왼쪽 자식 노드, 오른쪽 자식 노드가 주어진다. 노드의 이름은 A부터 차례대로 영문자
www.acmicpc.net
2020-11-15
import java.util.Scanner; public class Main1991 { public static int N; public static char arr[][]; public static void preorder(char ch) { System.out.print(ch); if(arr[ch-'A'][0] != '.') preorder(arr[ch-'A'][0]); if(arr[ch-'A'][1] != '.') preorder(arr[ch-'A'][1]); } public static void inorder(char ch) { if(arr[ch-'A'][0] != '.') inorder(arr[ch-'A'][0]); System.out.print(ch); if(arr[ch-'A'][1] != '.') inorder(arr[ch-'A'][1]); } public static void postorder(char ch) { if(arr[ch-'A'][0] != '.') postorder(arr[ch-'A'][0]); if(arr[ch-'A'][1] != '.') postorder(arr[ch-'A'][1]); System.out.print(ch); } public static void main(String[] args) { Scanner sc = new Scanner(System.in); N = sc.nextInt(); arr = new char[27][2]; for (int i = 0; i < N; i++) { char a = sc.next().charAt(0); char b = sc.next().charAt(0); char c = sc.next().charAt(0); arr[a - 'A'][0] = b; // left arr[a - 'A'][1] = c; // right } preorder('A'); System.out.println(); inorder('A'); System.out.println(); postorder('A'); } }1. 2차원 배열을 정의하고 arr[node][0]에는 노드의 왼쪽 자식 노드 값, arr[node][1]에는 오른쪽 자식 노드 값을 저장한다.

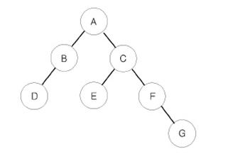
출처: https://www.acmicpc.net/problem/1991 2. preorder는 루트->왼쪽자식->오른쪽자식 순으로 순회한다.
루트 : A
왼쪽자식 : B -> D
오른쪽자식 : C -> E -> F -> G
3. inorder는 왼쪽자식->루트->오른쪽자식 순으로 순회한다.
왼쪽자식 : D -> B
루트 : A
오른쪽자식 : E -> C -> F -> G
4. postorer는 왼쪽자식->오른쪽자식->루트 순으로 순회한다.
왼쪽자식 : D -> B
오른쪽자식 : E -> G -> F -> C
루트 : A
'ALGORITHM > BOJ' 카테고리의 다른 글
[백준] 1697 숨바꼭질 (0) 2020.11.16 [백준] 3019 테트리스 (0) 2020.11.15 [백준] 1303 전쟁 - 전투 (0) 2020.11.15 [백준] 1051 숫자 정사각형 (0) 2020.11.13 [백준] 11725 트리의 부모 찾기 (0) 2020.11.12